Mandler 35mm f/2 klasik Leica lensini yeniden canlandırıyor ve düşük fiyatla 138g metal gövde sunuyor

"Bokeh'in Kralı" olarak da bilinen Leica Summicron-M 35 mm f/2 Type 4, ikinci el olarak hala 1.000 doların üzerinde satılıyor ve iyi durumda bazı satıcılar 1979 ile 1996 yılları arasında Leica tarafından üretilen bu lens için 2.000 doların üzerinde fiyat talep ediyor.
Top 10
» Top 10 Multimedia Notebook listesi
» Top 10 oyun notebooku
» Top 10 bütçeye uygun Ofis/İş Notebook Listesi
» Top 10 Premium Ofis/İş notebookları
» Top 10 Çalışma istasyonu laptopları
» Top 10 Subnotebook listesi
» Top 10 Ultrabooklar
» En iyi 10 dönüştürülebilir modeli
» Seçimi en iyi 10 tablet
» Notebookcheck Top 10 Windows Tabletleri
» Top 10 Subnotebook listesi
» NotebookCheck tarafından incelenen en iyi Notebook ekranları
» Notebookcheck'in 500 Euro altındaki en iyi 10 Notebook listesi
» NotebookCheck tarafından seçilen 300 Euro altındaki en iyi 10 Notebook
» Notebookcheck'in 500 Euro altındaki en iyi 10 Notebook listesi
» Notebookcheck'in Top 10 akıllı telefon listesi
» Notebookcheck'in Top 10 hafif oyun notebookları
Leica optik mühendisi Walter Mandler tarafından tasarlanan lens, ürettiği sıra dışı görünüm nedeniyle hala takip ediliyor. Çinli bir şirket şimdi lensi kopyaladı ve gövde tasarımından optik yapısına kadar bu yeni versiyon orijinaline çok yakın görünüyor, ancak kopya çok daha düşük bir fiyata sunuluyor. Daha düşük fiyata rağmen, gövde alüminyumdan yapılmıştır. Lens sadece yaklaşık 1,3 inç uzunluğunda ve 4,9 oz ağırlığındadır ve 7,4 oz ağırlığında pirinç bir versiyonu da sunulmaktadır.
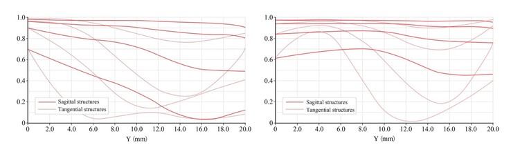
Beş grupta yedi elemandan oluşan tasarım, dijital sensörlerle eşleştirildiğinde daha iyi görüntü kalitesi sunmak için biraz güncellendi. Bununla birlikte, üreticinin MTF eğrilerinin gösterdiği gibi, lens, orijinali gibi, belirgin alan eğriliğine sahiptir, bu nedenle görüntü merkezi ve köşeler, aradaki alandan daha keskin hale getirilir. Merkezde bile lens, tam açık kullanıldığında özellikle keskin değildir.
Fiyat ve bulunabilirlik
Mandler 35 mm f/2.0 "7 Elements" full frame lensi üreticinin online mağazasından temin edilebilirleica M yuvası ile 348 $ ya da LTM vidalı yuvası ile 378 $. Gümüş versiyonun fiyatı ekstra 30 dolardır ve ek ücret karşılığında bir parasoley içeren aksesuar paketleri de mevcuttur. Leica M versiyonu şu anda tükenmiş durumda ancak Mart ayında tekrar satışa sunulması bekleniyor. Çin'den nakliye ücretsizdir, ancak fiyatlara olası ithalat ücretleri dahil değildir.

















